National Tsing Hua University

Department of Computer Science


Course Title: CS 3332 01   Probability       Score Report of 2015

Credits: 3 (Spring, 2015)

Classes: 10:10-12:00 Wednesday, 11:10-12:00 Friday at Delta 109

Instructor: Dr. Chaur-Chin Chen, http://www.cs.nthu.edu.tw/~cchen

Tel/E-mail: (03) 573-1078, cchen@cs.nthu.edu.tw at EECS Rm 539

Prerequisites: Calculus (I,II), Data Structure, C/C++ or Java, [Linear Algebra, Matlab]

Contents:
0. Course Description    1974-2019 Demographic Data    agepie.m       1981-2014 Birth Data     curvebirth.m      
      Prerequisites and Perspective      Matlab Practice      
1. Chap 1: Introduction       Histogram of Lenna    Histograms of Color Images    Matlab Code    GPA Data    Matlab Code    GPA Plot   
2. Chap 2: Discrete Distributions   
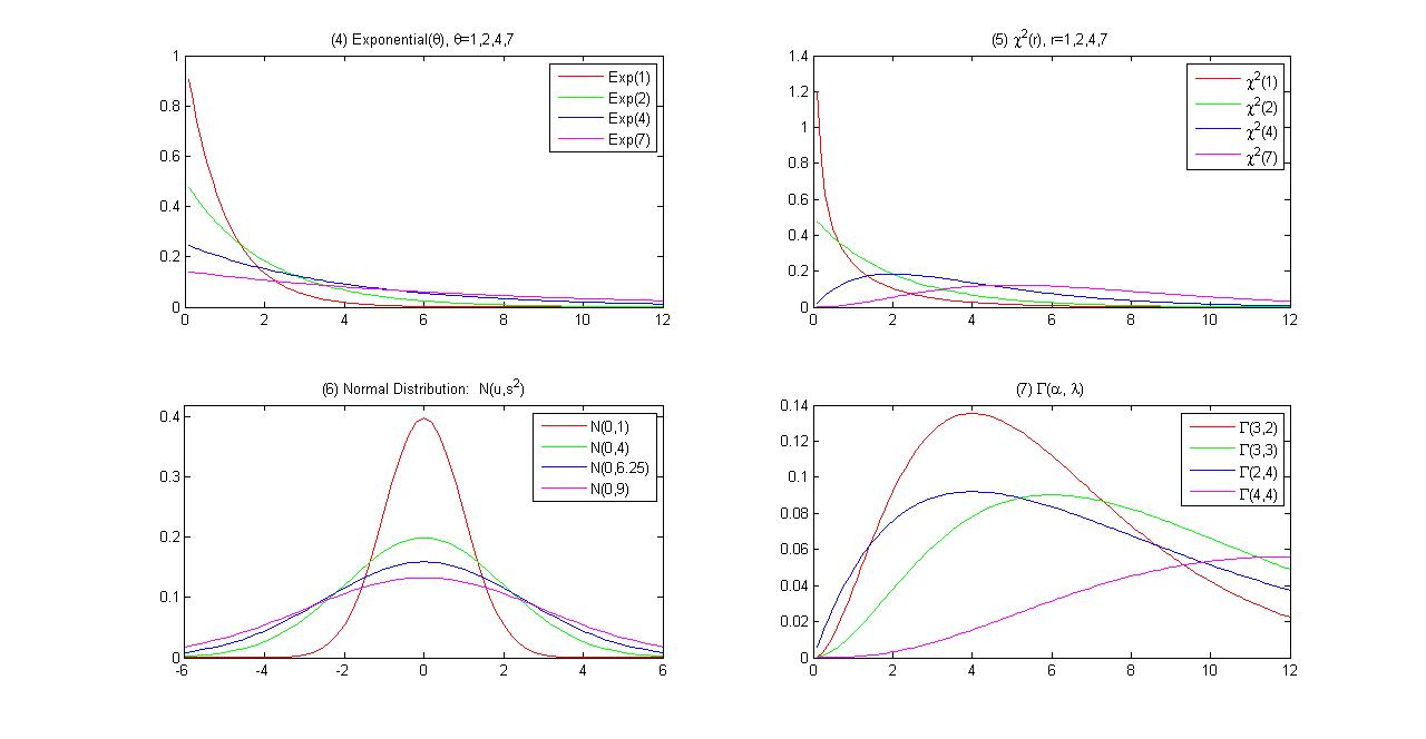
3. Chap 3: Continuous Distributions    Some Continuous Distributions     Matlab Codes     TableVa for N(0,1)     TableVb for N(0,1)     Table IV Chi^2(r)    
4. Chap 4: Multivariate Distributions     Cholesky Algorithm  
5. Chap 5: Distributions of Functions of Random Variables      Beta Distribution   Order Statistics
6. Chap 6: Parameter Estimation      
7. Chap 7: Tests of Statistical Hypothesis      
8. Chap W: Weibull Distribution    Rayleigh Distribution   
    Normal Distribution     Exponential Distribution     Gamma Distribution     Chi-Square Distribution
    Binomial Distribution     Poisson Distribution     Geometric Distribution     Negative Binomial Distribution

Textbooks:
1. R.V. Hogg and E.A. Tanis, and D.L. Zimmerman, Probability and Statistical Inference, Ninth Ed., Pearson Global Edition, 2015.
2. Online Lecture Notes

References:
1. J.K. Blitzstein and J. Hwang, Introduction to Probability, CRC Pres, A Chanpman and Hall Book (2015).
2. S. Ghahramani, Fundamentals of Probability with Stochastic Processes, 3rd ed., Prentice-Hall (2005).
3. J.A. Gubner, Probability and Random Processes for Electrical and Computer Engineers, Cambridge Press (2006)
4. D. Hanselman and B. Littlefield, Mastering MatLab 8 (2013)
5. R.V. Hogg, J. McKean, and A.T. Craig, Introduction to Mathematical Statistics, Pearson Education Limited (2014)
6. A. Leon-Garcia, Probability, Statistics, and Random Processes for Electrical Engineering, 3rd ed., Pearson Education, Inc. (2009)
7. S.G. Miaou and J.S. Chou, Fundamnetals of Probability and Statistics, Gau Lih Books Co., LTD., Taiwan (2012)
8. S.M. Ross, Introduction to Probability and Statistics for Engineers and Scientists (v4, 2009)

Grading:
(30%) Assignments and Class Attendance
Homework Format
Assignment 1     Partial Solutions       Data for Problem(12)      
Assignment 2     Partial Solutions      
Assignment 3     Partial Solutions      
Assignment 4     Partial Solutions      
(70%) Exams
Exam 1     Solutions for Exam 1     Summary Statistics of Exam 1      
Exam 2     Solutions for Exam 2     Summary Statistics of Exam 2      
Results of Exam II
Summary Statistics of Exam 2       Your Score for Exam 2       Matlab Code      

Updated on April 12, 2020